La colibacilosis aviar es una de las enfermedades más frecuentes y con mayor implicación económica en la producción avícola. Está causada por determinadas cepas de Escherichia coli, conocidas como APEC (Avian Pathogenic E. coli), capaces de provocar infecciones graves, aumentar la mortalidad y reducir el rendimiento productivo.
Un reciente estudio realizado por investigadoras de CECAV, socio de Biotegania, ha analizado en profundidad la virulencia y la resistencia a antibióticos de E. coli aisladas en granjas avícolas, aportando información clave para mejorar las estrategias de control, prevención y bioseguridad.
¿Qué es E. coli APEC y por qué preocupa?
No todas las E. coli son peligrosas. Muchas forman parte de la microbiota normal de las aves sin causar enfermedad. Sin embargo, las cepas APEC poseen genes específicos de virulencia que les permiten:
- Adherirse a tejidos
- Evadir el sistema inmunitario
- Diseminarse a órganos internos
- Provocar infecciones sistémicas
Estas infecciones pueden manifestarse como septicemia, aerosaculitis, pericarditis, perihepatitis o infecciones del saco vitelino, entre otras, afectando tanto a pollos de engorde como a reproductoras y ponedoras.
¿Qué se analizó en este estudio?
Los investigadores estudiaron 898 aislamientos de E. coli procedentes de granjas avícolas españolas, recogidos entre 2023 y 2024. El trabajo se centró en dos aspectos clave:
1. Virulencia
Se analizaron cinco genes considerados marcadores clave de APEC:
- hlyF
- iroN
- iss
- iutA
- ompT
La presencia conjunta de estos genes permite identificar cepas con alto potencial patógeno.
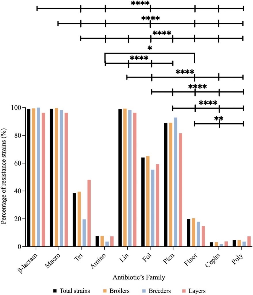
2. Resistencia a antibióticos
Se evaluó la resistencia a múltiples familias de antibióticos, poniendo especial atención en:
- Colistina, considerada antibiótico de último recurso en medicina humana
- Genes de resistencia mcr-1 y mcr-2, responsables de resistencia transferible

Principales resultados del estudio
Los resultados muestran una realidad compleja pero muy relevante para el sector:
- Casi el 60 % de las cepas analizadas fueron identificadas como APEC, al presentar los cinco genes de virulencia.
- Las reproductoras y los broilers mostraron las mayores proporciones de cepas APEC.
- El 99 % de los aislados fueron multirresistentes (MDR), es decir, resistentes a tres o más familias de antibióticos.
- Un 3 % de las cepas fueron extremadamente resistentes (XDR), con opciones terapéuticas muy limitadas.
- La resistencia a colistina fue baja, tanto a nivel fenotípico como genético, lo que refleja el impacto positivo de los programas de reducción de antibióticos en España impulsados por el PRAN.
Estos datos indican que, aunque el uso responsable de antibióticos está dando resultados satisfactorios, siguen existiendo cepas altamente patógenas y resistentes que requieren vigilancia continua.
Conclusiones
Los autores concluyen que es necesario:
- Mantener programas de vigilancia activa
- Integrar herramientas moleculares rápidas
- Reforzar bioseguridad y medidas preventivas
- Apostar por estrategias alternativas al uso de antibióticos
Todo ello permitirá reducir riesgos sanitarios, económicos y zoonóticos, avanzando hacia una producción avícola más segura y sostenible.
Autores del estudio científico
Este artículo se basa en el trabajo de:
Isaac Monroy¹*
Pablo Catalá-Gregori¹ ²
Sandra Sevilla-Navarro¹ ²
Afiliaciones
¹ Centro de Calidad Avícola y Alimentación Animal de la Comunidad Valenciana (CECAV), 12539 Castellón, España
² Departamento de Producción y Sanidad Animal, Salud Pública Veterinaria y Ciencia y Tecnología de los Alimentos, Instituto de Ciencias Biomédicas, Facultad de Veterinaria, Universidad Cardenal Herrera-CEU, CEU Universities, 46113 Moncada, España
Referencia científica
Monroy, I. et al. (2025). Assessment of antibiotic resistance and virulence in Escherichia coli strains isolated from poultry in Spain. Poultry Science, 104, 104838. https://doi.org/10.1016/j.psj.2025.104838
